招生就业
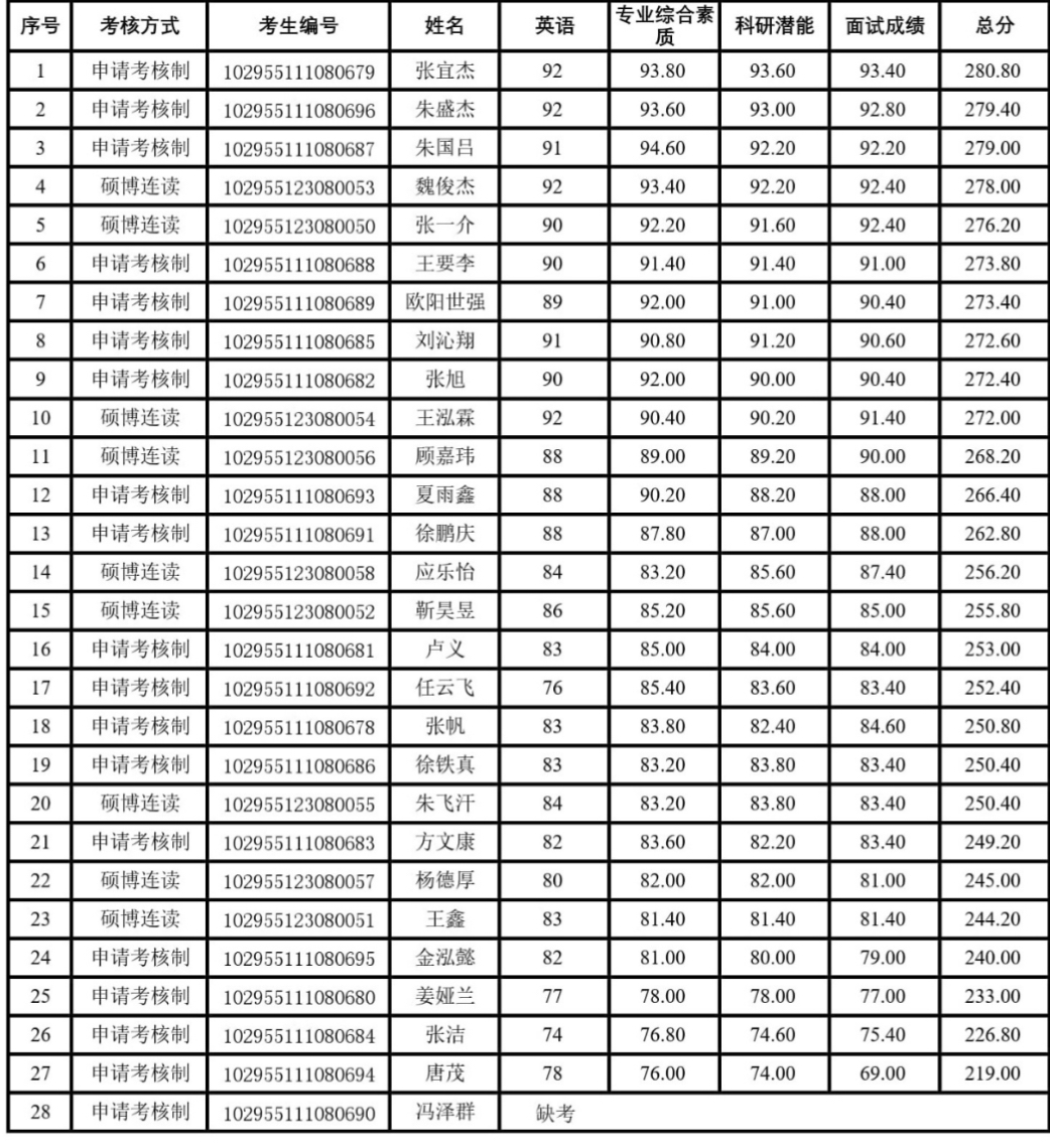
由太阳成集团tyc33455cc组织的2025年博士面试考核已经结束,现将考核成绩公布如下:
太阳成集团tyc33455cc
2025年1月13日
上一篇:太阳成集团tyc33455cc2025年博士研究生拟录取名单公示(第一批)
下一篇:太阳成集团tyc33455cc2025年博士综合考核安排
技术支持:信息化建设管理处
校内设备号:JW190003
版权所有:MACAU·太阳成集团tyc33455cc(有限公司)官方网站-Official Website 邮编:214122 联系方式:0510-85910562服务邮箱:jxgcxy@jiangnan.edu.cn